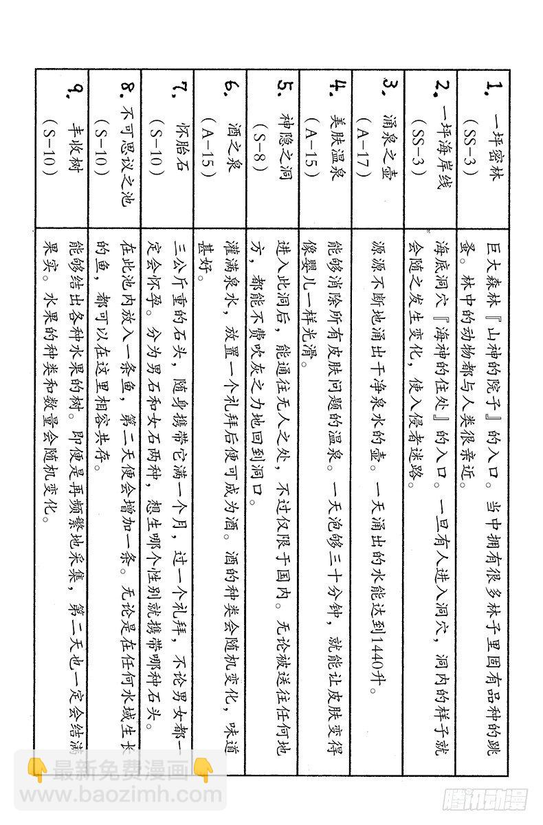
首页 猎人 No.160 对决
关灯
章节
上一话 下一话

《猎人》目录